Space availability/standards in homes and impact on residents’ wellbeing
Sem Lee • 11 January 2021
11 January 2021

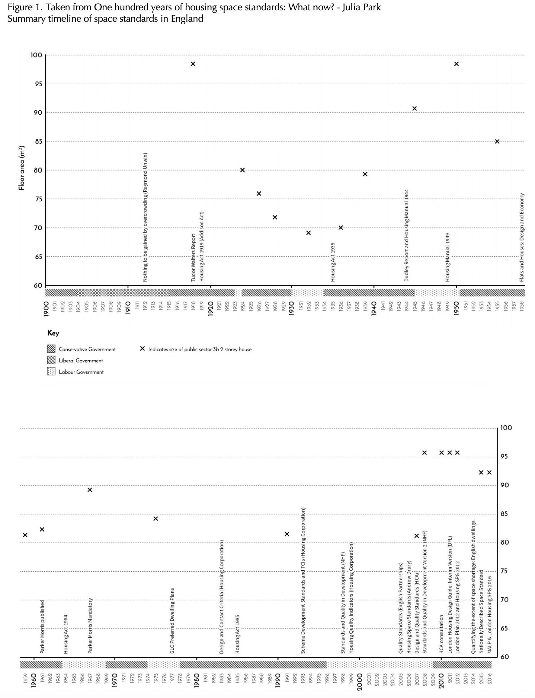
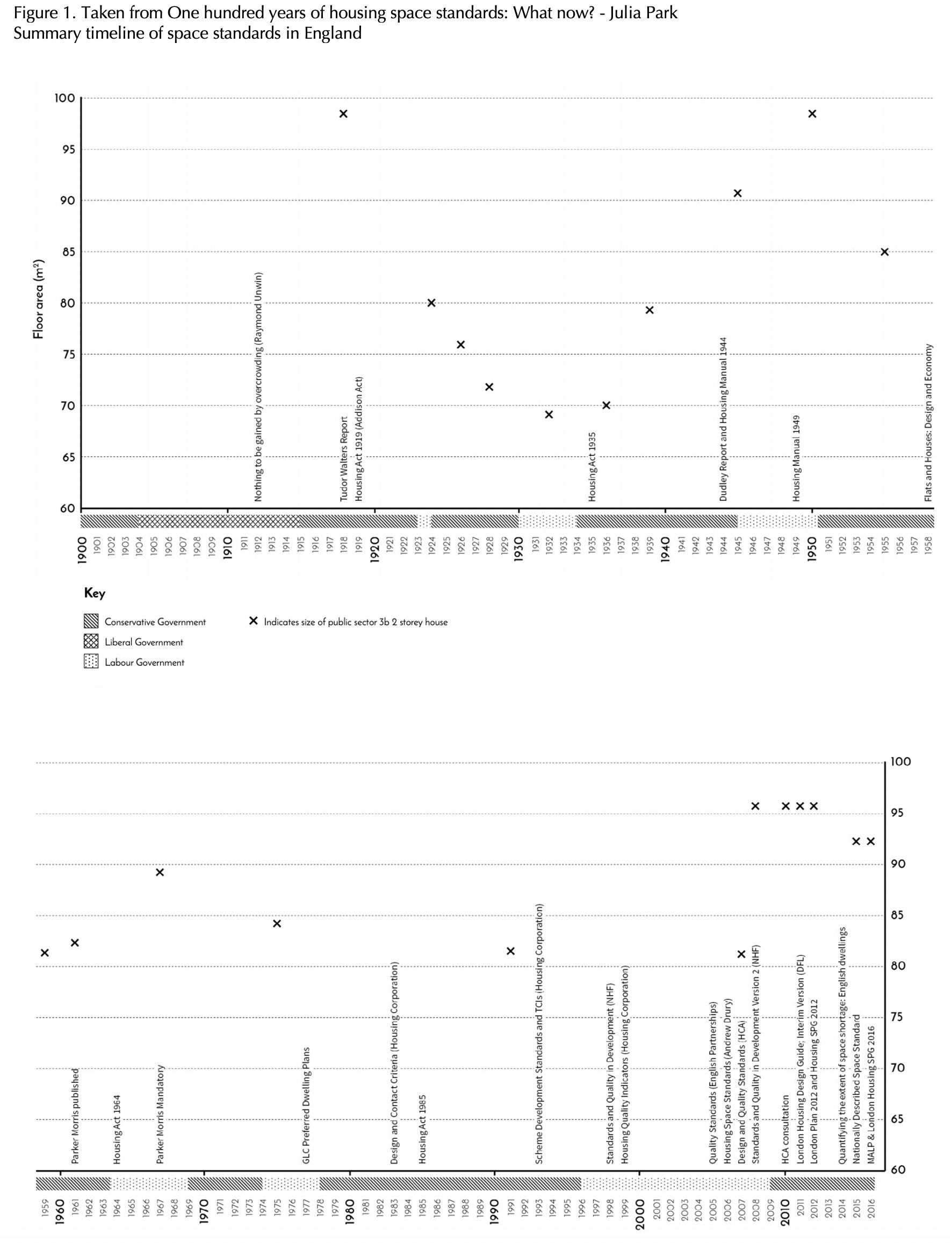
The UK is home to the smallest new built dwellings and its average room size is the smallest in Europe. ‘Shoebox Britain’ has been coined to describe the housing crisis and there is increasing social, environmental and health inequalities amongst urban communities. 20% of the current UK housing stock falls short of the mark when it comes to meeting decent home standards(1), costing the NHS £2.5 billion every year(2). Poor housing has acted as the catalyst for social inequity where the bottom line of society suffers the most with regards to quality of life and wellbeing.
Reference
1. BRE. J. Piddington, S. Nicol, H. Garrett, M. Custard. The Housing Stock of The United Kingdom. 2020.
2. BRE. S. Nicol, M. Roys, H. Garrett. The cost of poor housing to the NHS. 2010
3. RIBA. R. Roberts-Hughes. The Case for Space – the size of England’s New Homes. 2011.
4. UCL. B.Clifford, P. Canelas, J. Ferm, N. Livingstone, A. Lord, R. Dunning. Research into the quality standard of homes delivered through change of use permitted development rights. 2020; CABE. M. Carmona, N. Gallent, R. Sarkar. Housing standards: evidence and research, Space standards: the benefits. 2010.
5. CABE. A. Drury, G. Welch, N. Allen. Resident satisfaction with space in the home. 2009.
6. Levitt Bernstein. J. Park. One hundred years of housing space standards – What now? 2017.
7. GLA. David Lock Associates, Hoare Lea, Gardiner and Theobald. Housing Standards Review Viability Assessment Final Report. 2015.
The UK is home to the smallest new built dwellings and its average room size is the smallest in Europe. ‘Shoebox Britain’ has been coined to describe the housing crisis and there is increasing social, environmental and health inequalities amongst urban communities. 20% of the current UK housing stock falls short of the mark when it comes to meeting decent home standards(1), costing the NHS £2.5 billion every year(2). Poor housing has acted as the catalyst for social inequity where the bottom line of society suffers the most with regards to quality of life and wellbeing.










